Официальное опубликование правовых актов
ОФИЦИАЛЬНОЕ ОПУБЛИКОВАНИЕ
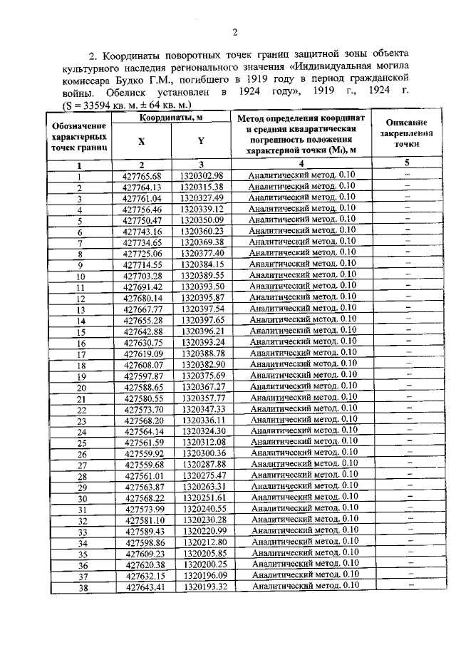
Приказ Комитета по охране объектов культурного наследия Курской области от 01.06.2022 № 05.4-08/660
"Об утверждении графического описания местоположения границ защитной зоны объекта культурного наследия регионального значения "Индивидуальная могила комиссара Будко Г.М., погибшего в 1919 году в период гражданской войны. Обелиск установлен в 1924 году", 1919 г., 1924 г. (Курская область, Курский район, ст. Отрешково Винниковского сельсовета (на территории ж.д. станции Отрешково)"
Номер опубликования: 4601202206060023
Дата опубликования: 06.06.2022
Страница №4 из 6:
Увеличить