Официальное опубликование правовых актов
ОФИЦИАЛЬНОЕ ОПУБЛИКОВАНИЕ
Приказ Комитета по охране объектов культурного наследия Курской области от 01.06.2022 № 05.4-08/658
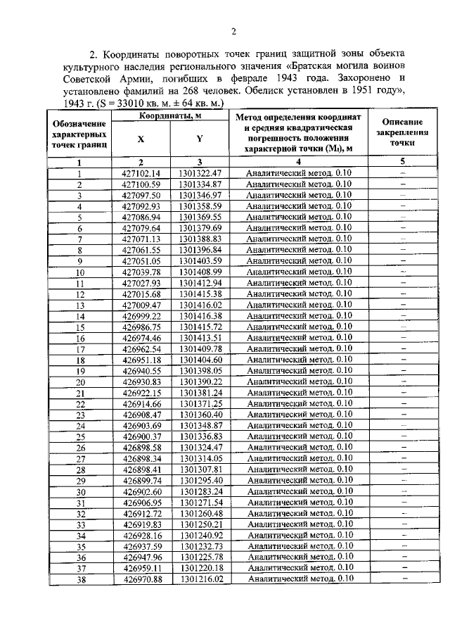
"Об утверждении графического описания местоположения границ защитной зоны объекта культурного наследия регионального значения "Братская могила воинов Советской Армии, погибших в феврале 1943 года. Захоронено и установлено фамилий на 268 человек. Обелиск установлен в 1951 году", 1943 г. (Курская область, Курский район, д. Щетинка Щетинского сельсовета (100 м северо-восточнее восьмилетней школы)"
Номер опубликования: 4601202206060022
Дата опубликования: 06.06.2022
Страница №4 из 6:
Увеличить