Официальное опубликование правовых актов
ОФИЦИАЛЬНОЕ ОПУБЛИКОВАНИЕ
Приказ Комитета по охране объектов культурного наследия Курской области от 26.05.2022 № 05.4-08/630
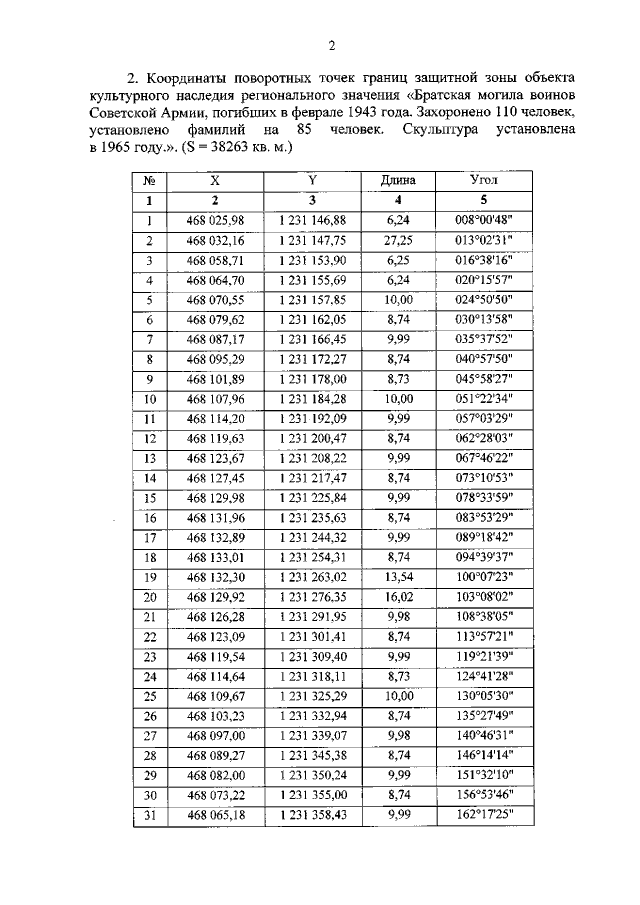
"Об утверждении графического описания местоположения границ защитной зоны объекта культурного наследия регионального значения "Братская могила воинов Советской Армии, погибших в феврале 1943 года. Захоронено 110 человек, установлено фамилий на 85 человек. Скульптура установлена в 1965 году." (Курская область, Дмитриевский район, д. Моршнево)"
Номер опубликования: 4601202205310029
Дата опубликования: 31.05.2022
Страница №4 из 7:
Увеличить