Официальное опубликование правовых актов
ОФИЦИАЛЬНОЕ ОПУБЛИКОВАНИЕ
Приказ Комитета по охране объектов культурного наследия Курской области от 26.05.2022 № 05.4-08/625
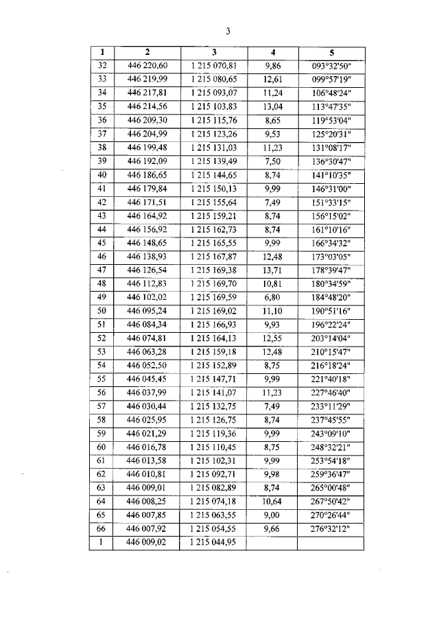
"Об утверждении графического описания местоположения границ защитной зоны объекта культурного наследия регионального значения "Братская могила воинов Советской Армии, погибших в марте 1943 года. Захоронено 258 человек, установлено фамилий на 91 человека. Скульптура установлена в 1966 году", 1966 г. (Курская область, Дмитриевский район, с. Береза Березовского сельсовета (в 150 м от сельского Совета)"
Номер опубликования: 4601202205310027
Дата опубликования: 31.05.2022
Страница №5 из 6:
Увеличить