Официальное опубликование правовых актов
ОФИЦИАЛЬНОЕ ОПУБЛИКОВАНИЕ
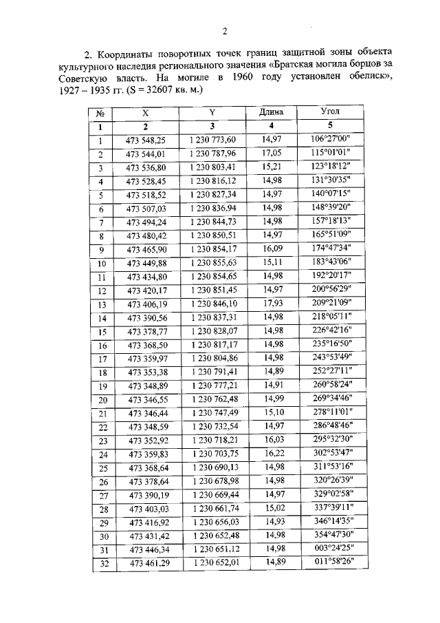
Приказ Комитета по охране объектов культурного наследия Курской области от 27.05.2022 № 05.4-08/639
"Об утверждении графического описания местоположения границ защитной зоны объекта культурного наследия регионального значения "Братская могила борцов за Советскую власть. На могиле в 1960 году установлен обелиск", 1927 — 1935 гг. (Курская область, Дмитриевский район, с. Пальцево, 24 А)"
Номер опубликования: 4601202205310016
Дата опубликования: 31.05.2022
Страница №4 из 6:
Увеличить