Официальное опубликование правовых актов
ОФИЦИАЛЬНОЕ ОПУБЛИКОВАНИЕ
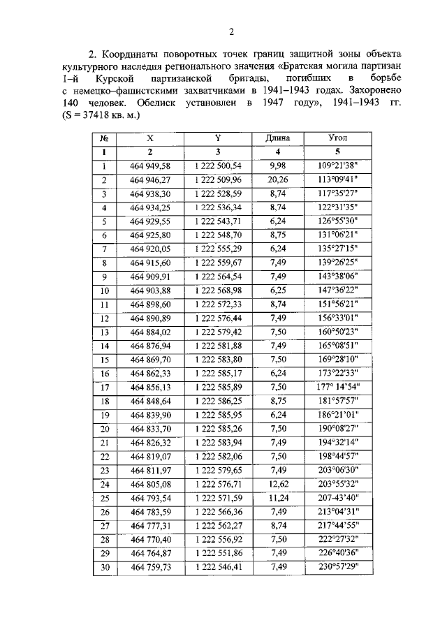
Приказ Комитета по охране объектов культурного наследия Курской области от 26.05.2022 № 05.4-08/623
"Об утверждении графического описания местоположения границ защитной зоны объекта культурного наследия регионального значения "Братская могила партизан 1—й Курской партизанской бригады, погибших в борьбе с немецко—фашистскими захватчиками в 1941—1943 годах. Захоронено 140 человек. Обелиск установлен в 1947 году", 1941—1943 гг. (Курская область, Дмитриевский район, г. Дмитриев, улица Ленина, у входа в парк имени 1 Мая)"
Номер опубликования: 4601202205310011
Дата опубликования: 31.05.2022
Страница №4 из 7:
Увеличить