Официальное опубликование правовых актов
ОФИЦИАЛЬНОЕ ОПУБЛИКОВАНИЕ
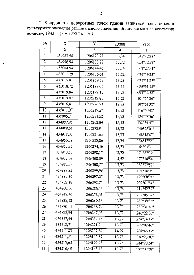
Приказ Комитета по охране объектов культурного наследия Курской области от 24.05.2022 № 05.4-08/611
"Об утверждении графического описания местоположения границ защитной зоны объекта культурного наследия регионального значения "Братская могила советских воинов", 1943 г. (Курская область, Хомутовский район, х. Богомолов, Цинов лес)"
Номер опубликования: 4601202205270008
Дата опубликования: 27.05.2022
Страница №3 из 5:
Увеличить