Официальное опубликование правовых актов
ОФИЦИАЛЬНОЕ ОПУБЛИКОВАНИЕ
Приказ Комитета по охране объектов культурного наследия Курской области от 16.05.2022 № 05.4-08/594
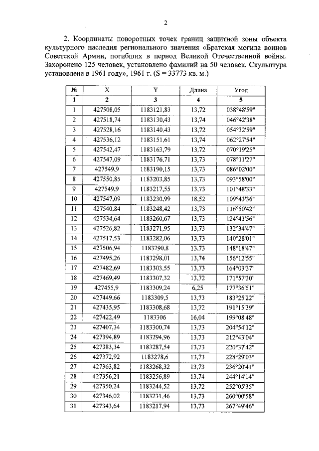
"Об утверждении графического описания местоположения границ защитной зоны объекта культурного наследия регионального значения "Братская могила воинов Советской Армии, погибших в период Великой Отечественной войны. Захоронено 125 человек, установлено фамилий на 50 человек. Скульптура установлена в 1961 году", 1961 г. (Курская область, Хомутовский район, с. Амонь)"
Номер опубликования: 4601202205200003
Дата опубликования: 20.05.2022
Страница №4 из 6:
Увеличить