Официальное опубликование правовых актов
ОФИЦИАЛЬНОЕ ОПУБЛИКОВАНИЕ
Приказ Комитета по охране объектов культурного наследия Курской области от 13.05.2022 № 05.4-08/552
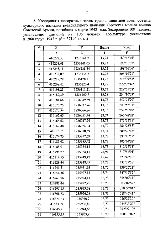
"Об утверждении графического описания местоположения границ защитной зоны объекта культурного наследия регионального значения "Братская могила воинов Советской Армии, погибших в марте 1943 года. Захоронено 109 человек, установлено фамилий на 106 человек. Скульптура установлена в 1968 году", 1943 г. (Курская область, гор. Льгов (у средней школы № 1)"
Номер опубликования: 4601202205160013
Дата опубликования: 16.05.2022
Страница №4 из 6:
Увеличить