Официальное опубликование правовых актов
ОФИЦИАЛЬНОЕ ОПУБЛИКОВАНИЕ
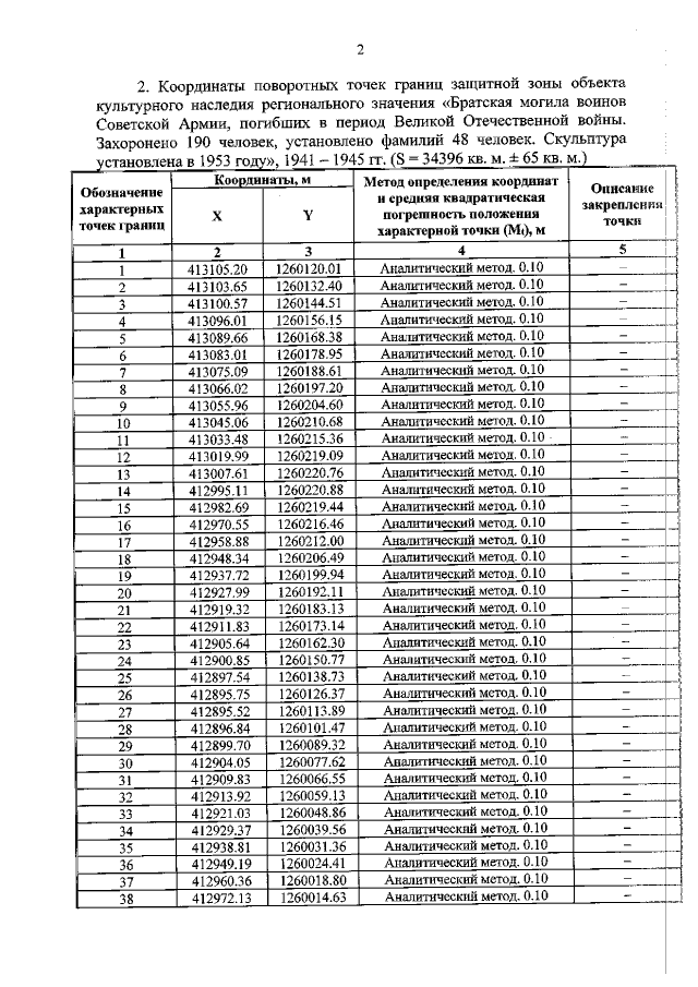
Приказ Комитета по охране объектов культурного наследия Курской области от 27.04.2022 № 05.4-08/480
"Об утверждении графического описания местоположения границ защитной зоны объекта культурного наследия регионального значения "Братская могила воинов Советской Армии, погибших в период Великой Отечественной войны. Захоронено 190 человек, установлено фамилий 48 человек. Скульптура установлена в 1953 году", 1941 — 1945 гг. (Курская область, город Курчатов, промышленная зона)"
Номер опубликования: 4601202204280016
Дата опубликования: 28.04.2022
Страница №4 из 6:
Увеличить