Официальное опубликование правовых актов
ОФИЦИАЛЬНОЕ ОПУБЛИКОВАНИЕ
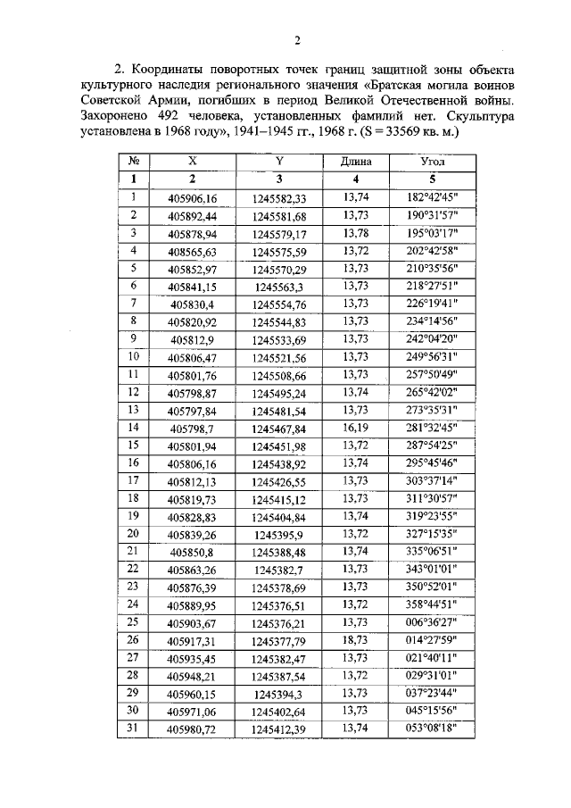
Приказ Комитета по охране объектов культурного наследия Курской области от 20.04.2022 № 05.4-08/450
"Об утверждении графического описания местоположения границ защитной зоны объекта культурного наследия регионального значения "Братская могила воинов Советской Армии, погибших в период Великой Отечественной войны. Захоронено 492 человека, установленных фамилий нет. Скульптура установлена в 1968 году", 1941—1945 гг., 1968 г. (Курская область, Льговский район, село Большие Угоны (у железнодорожного моста)"
Номер опубликования: 4601202204220052
Дата опубликования: 22.04.2022
Страница №4 из 6:
Увеличить