Официальное опубликование правовых актов
ОФИЦИАЛЬНОЕ ОПУБЛИКОВАНИЕ
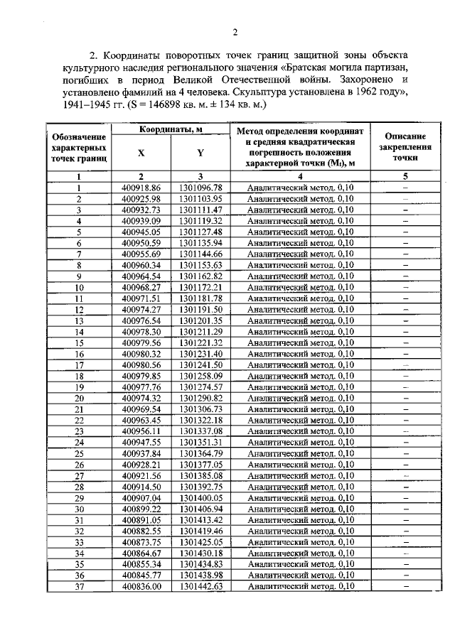
Приказ Комитета по охране объектов культурного наследия Курской области от 20.04.2022 № 05.4-08/439
"Об утверждении графического описания местоположения границ защитной зоны объекта культурного наследия регионального значения "Братская могила партизан, погибших в период Великой Отечественной войны. Захоронено и установлено фамилий на 4 человека. Скульптура установлена в 1962 году", 1941–1945 гг. (Курская область, Медвенский район, с. Петропавловка)"
Номер опубликования: 4601202204220047
Дата опубликования: 22.04.2022
Страница №5 из 8:
Увеличить