Официальное опубликование правовых актов
ОФИЦИАЛЬНОЕ ОПУБЛИКОВАНИЕ
Приказ Комитета по охране объектов культурного наследия Курской области от 15.04.2022 № 05.4-08/417
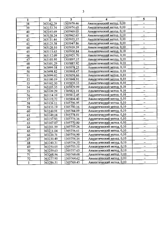
"Об утверждении графического описания местоположения границ защитной зоны объекта культурного наследия регионального значения "Братская могила воинов Советской Армии, погибших в феврале 1943 года. Захоронено 318 человек, установлено фамилий на 129 человек. Скульптурная группа установлена в 1966 году", 1943 г., 1966 г.(Курская область, Обоянский район, город Обоянь (парк Юных пионеров)"
Номер опубликования: 4601202204220021
Дата опубликования: 22.04.2022
Страница №5 из 6:
Увеличить