Официальное опубликование правовых актов
ОФИЦИАЛЬНОЕ ОПУБЛИКОВАНИЕ
Приказ Комитета по охране объектов культурного наследия Курской области от 15.04.2022 № 05.4-08/419
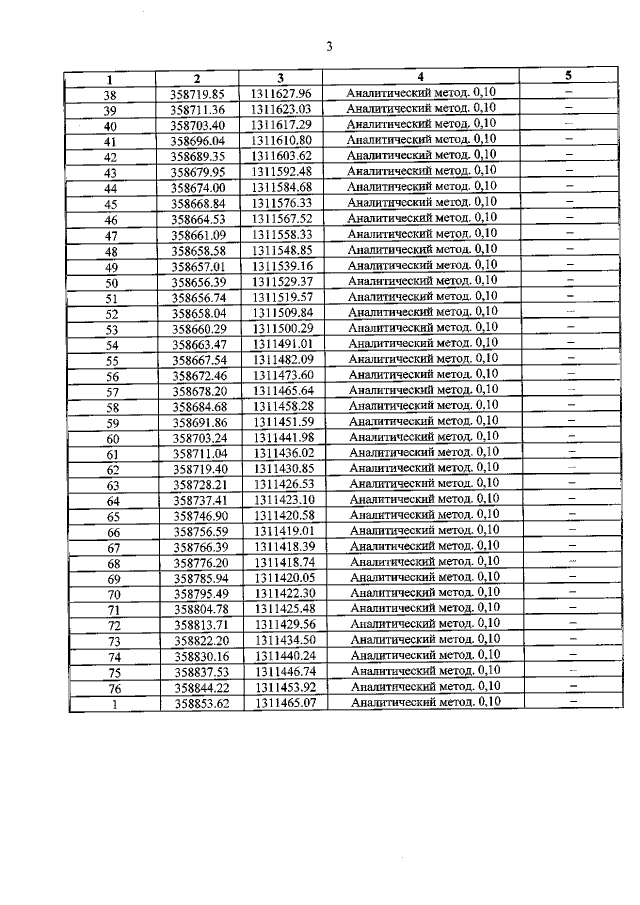
"Об утверждении графического описания местоположения границ защитной зоны объекта культурного наследия регионального значения "Братская могила воинов Советской Армии, погибших в феврале 1943 года. Захоронено 222 человека, установлено фамилий на 98 человек. Скульптура установлена в 1973 году", 1943 г., 1973 г.(Курская область, Обоянский район, село Зорино (у здания средней школы)"
Номер опубликования: 4601202204220020
Дата опубликования: 22.04.2022
Страница №5 из 6:
Увеличить