Официальное опубликование правовых актов
ОФИЦИАЛЬНОЕ ОПУБЛИКОВАНИЕ
Приказ Комитета по охране объектов культурного наследия Курской области от 14.04.2022 № 05.4-08/409
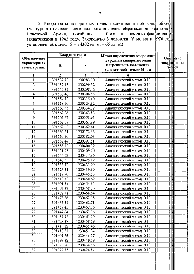
"Об утверждении графического описания местоположения границ защитной зоны объекта культурного наследия регионального значения "Братская могила воинов Советской Армии, погибших в боях с немецко–фашистскими захватчиками в 1943 году. Захоронено 3 человека. У могил в 1976 году установлен обелиск"(Курская область, Кореневский район, пос. Каучук)"
Номер опубликования: 4601202204220016
Дата опубликования: 22.04.2022
Страница №4 из 6:
Увеличить