Официальное опубликование правовых актов
ОФИЦИАЛЬНОЕ ОПУБЛИКОВАНИЕ
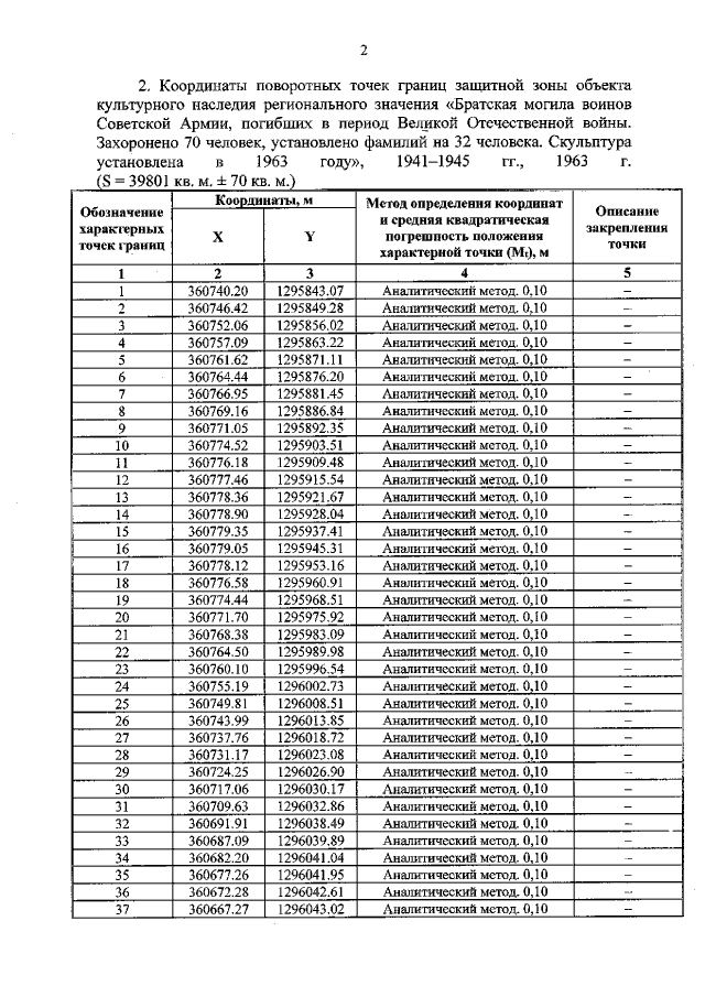
Приказ Комитета по охране объектов культурного наследия Курской области от 15.04.2022 № 05.4-08/424
"Об утверждении графического описания местоположения границ защитной зоны объекта культурного наследия регионального значения "Братская могила воинов Советской Армии, погибших в период Великой Отечественной войны. Захоронено 70 человек, установлено фамилий на 32 человека. Скульптура установлена в 1963 году", 1941–1945 гг., 1963 г.(Курская область, Обоянский район, село Усланка (у здания восьмилетней школы)"
Номер опубликования: 4601202204220015
Дата опубликования: 22.04.2022
Страница №4 из 7:
Увеличить