Официальное опубликование правовых актов
ОФИЦИАЛЬНОЕ ОПУБЛИКОВАНИЕ
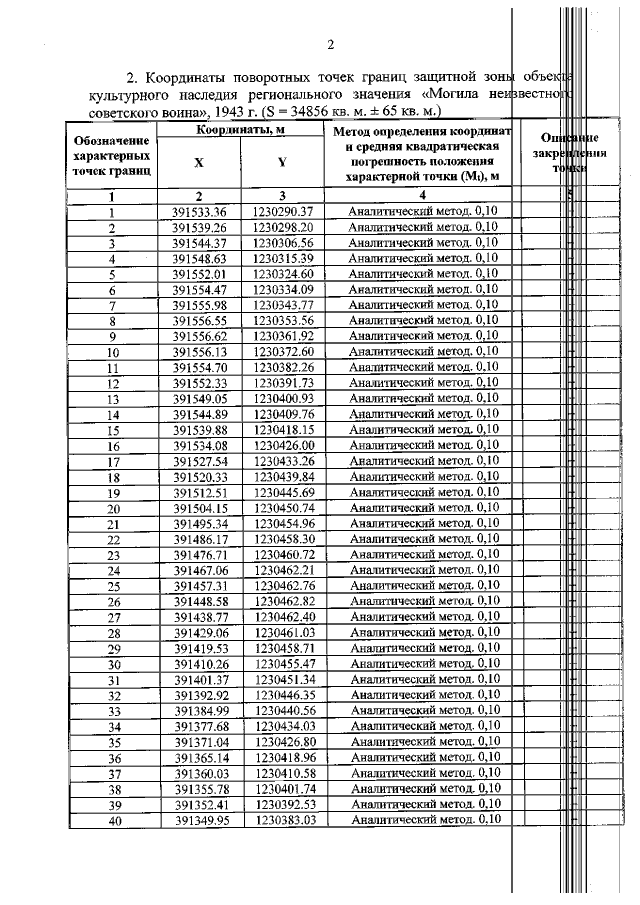
Приказ Комитета по охране объектов культурного наследия Курской области от 14.04.2022 № 05.4-08/410
"Об утверждении графического описания местоположения границ защитной зоны объекта культурного наследия регионального значения "Могила неизвестного советского воина", 1943 г.(Курская область, Кореневский район, п. Каучук)"
Номер опубликования: 4601202204220014
Дата опубликования: 22.04.2022
Страница №3 из 5:
Увеличить