Официальное опубликование правовых актов
ОФИЦИАЛЬНОЕ ОПУБЛИКОВАНИЕ
Приказ Комитета по охране объектов культурного наследия Курской области от 15.04.2022 № 05.4-08/425
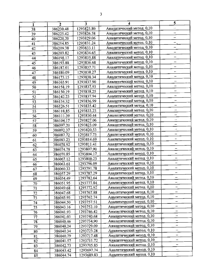
"Об утверждении графического описания местоположения границ защитной зоны объекта культурного наследия регионального значения "Братская могила воинов Советской Армии и партизан, погибших в период Великой Отечественной войны. Захоронено 413 человек, установлено фамилий на 218 человек. Скульптура установлена в 1963 г.", 1941–1945 гг., 1963 г.(Курская область, Медвенский район, п. Медвенка)"
Номер опубликования: 4601202204220013
Дата опубликования: 22.04.2022
Страница №5 из 7:
Увеличить