Официальное опубликование правовых актов
ОФИЦИАЛЬНОЕ ОПУБЛИКОВАНИЕ
Приказ Комитета по охране объектов культурного наследия Курской области от 14.04.2022 № 05.4-08/412
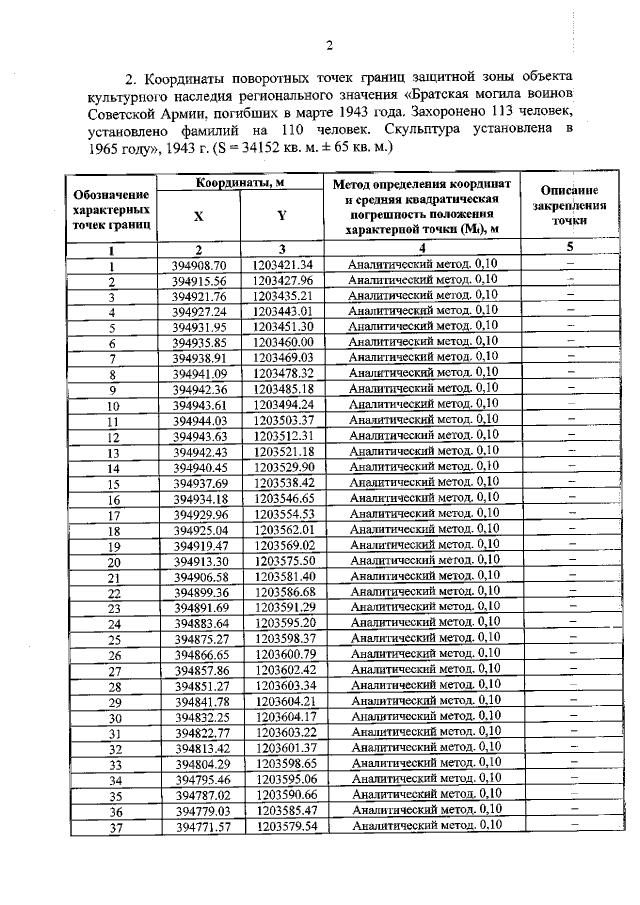
"Об утверждении графического описания местоположения границ защитной зоны объекта культурного наследия регионального значения "Братская могила воинов Советской Армии, погибших в марте 1943 года. Захоронено 113 человек, установлено фамилий на 110 человек. Скульптура установлена в 1965 году", 1943 г. (Курская область, Кореневский район, с. Пушкарное)"
Номер опубликования: 4601202204220007
Дата опубликования: 22.04.2022
Страница №4 из 7:
Увеличить