Официальное опубликование правовых актов
ОФИЦИАЛЬНОЕ ОПУБЛИКОВАНИЕ
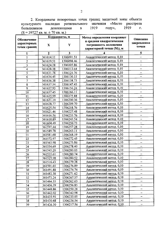
Приказ Комитета по охране объектов культурного наследия Курской области от 14.04.2022 № 05.4-08/416
"Об утверждении графического описания местоположения границ защитной зоны объекта культурного наследия регионального значения "Место расстрела большевиков деникинцами в 1919 году", 1919 г.(Курская область, Обоянский район, г. Обоянь, ул. Луначарского, квартал № 87)"
Номер опубликования: 4601202204220004
Дата опубликования: 22.04.2022
Страница №4 из 6:
Увеличить