Официальное опубликование правовых актов
ОФИЦИАЛЬНОЕ ОПУБЛИКОВАНИЕ
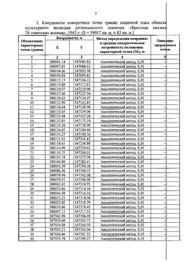
Приказ Комитета по охране объектов культурного наследия Курской области от 14.04.2022 № 05.4-08/414
"Об утверждении графического описания местоположения границ защитной зоны объекта культурного наследия регионального значения "Братская могила 28 советских воинов", 1943 г. (Курская область, Солнцевский район, с. Субботино)"
Номер опубликования: 4601202204220003
Дата опубликования: 22.04.2022
Страница №3 из 6:
Увеличить