Официальное опубликование правовых актов
ОФИЦИАЛЬНОЕ ОПУБЛИКОВАНИЕ
Приказ Комитета по охране объектов культурного наследия Курской области от 13.04.2022 № 05.4-08/399
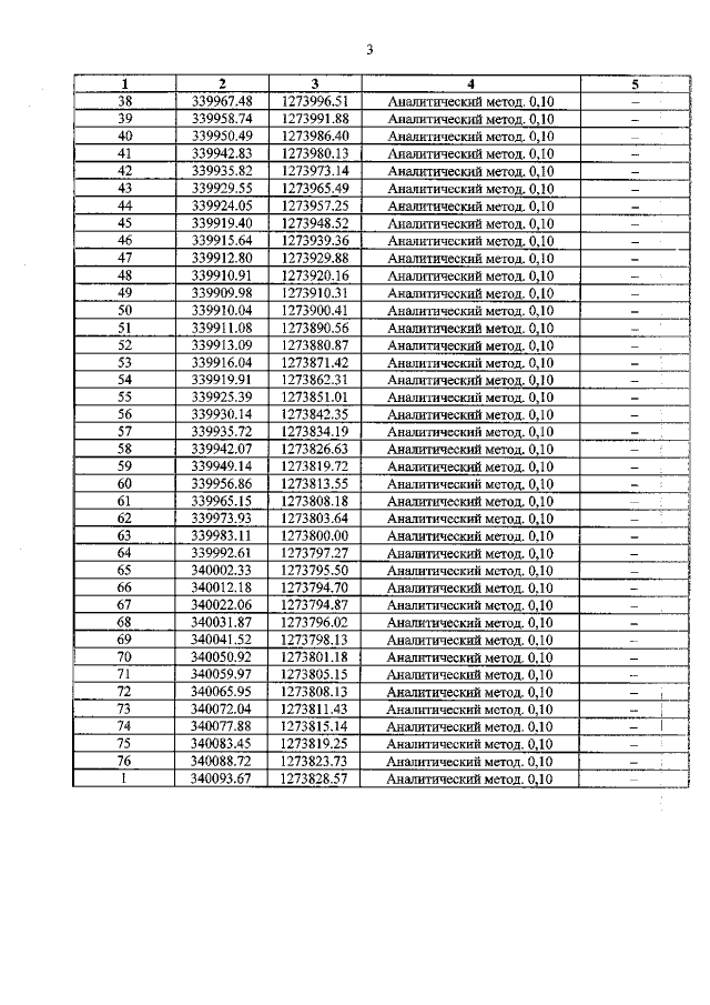
"Об утверждении графического описания местоположения границ защитной зоны объекта культурного наследия регионального значения "Братская могила воинов Советской Армии, погибших в январе 1943 года. Захоронено 13 человек, установлено фамилий на 10 человек. Скульптура установлена в 1961 году", 1961 год (Курская область, Беловский район, хут. Пенский (в центре хутора)"
Номер опубликования: 4601202204200002
Дата опубликования: 20.04.2022
Страница №5 из 6:
Увеличить