Приказ Комитета по охране объектов культурного наследия Курской области от 11.04.2022 № 05.4-08/379
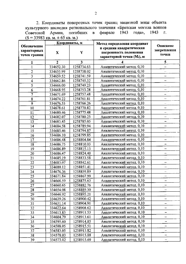
"Об утверждении графического описания местоположения границ защитной зоны объекта культурного наследия регионального значения "Братская могила воинов Советской Армии, погибших в феврале 1943 года", 1943 г.(Курская область, Беловский район, с. Илек)"
"Об утверждении графического описания местоположения границ защитной зоны объекта культурного наследия регионального значения "Братская могила воинов Советской Армии, погибших в феврале 1943 года", 1943 г.(Курская область, Беловский район, с. Илек)"
Номер опубликования: 4601202204180001
Дата опубликования:
18.04.2022
