Приказ Комитета по охране объектов культурного наследия Курской области от 11.04.2022 № 05.4-08/387
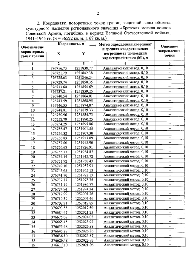
"Об утверждении графического описания местоположения границ защитной зоны объекта культурного наследия регионального значения "Братская могила воинов Советской Армии, погибших в период Великой Отечественной войны", 1941–1945 гг.(Курская область, Большесолдатский район, с. Б–Солдатское)"
"Об утверждении графического описания местоположения границ защитной зоны объекта культурного наследия регионального значения "Братская могила воинов Советской Армии, погибших в период Великой Отечественной войны", 1941–1945 гг.(Курская область, Большесолдатский район, с. Б–Солдатское)"
Номер опубликования: 4601202204150037
Дата опубликования:
15.04.2022
