Приказ Комитета по охране объектов культурного наследия Курской области от 11.04.2022 № 05.4-08/385
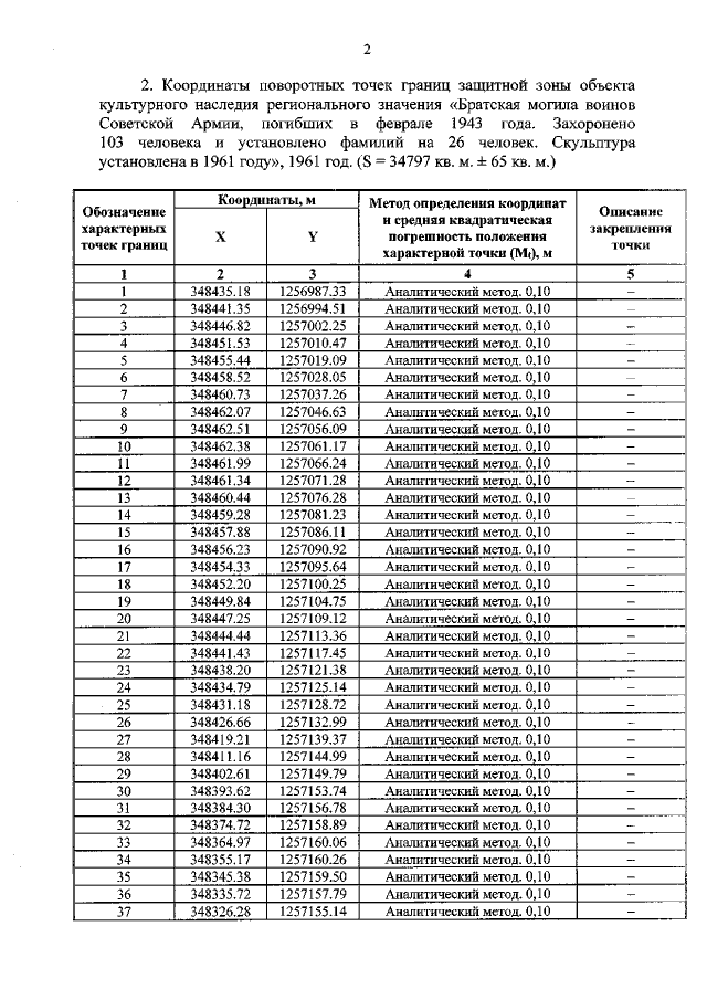
"Об утверждении графического описания местоположения границ защитной зоны объекта культурного наследия регионального значения "Братская могила воинов Советской Армии, погибших в феврале 1943 года. Захоронено 103 человека и установлено фамилий на 26 человек. Скульптура установлена в 1961 году", 1961 год(Курская область, Беловский район, ст. Псел (на привокзальной площади)"
"Об утверждении графического описания местоположения границ защитной зоны объекта культурного наследия регионального значения "Братская могила воинов Советской Армии, погибших в феврале 1943 года. Захоронено 103 человека и установлено фамилий на 26 человек. Скульптура установлена в 1961 году", 1961 год(Курская область, Беловский район, ст. Псел (на привокзальной площади)"
Номер опубликования: 4601202204150036
Дата опубликования:
15.04.2022
