Официальное опубликование правовых актов
ОФИЦИАЛЬНОЕ ОПУБЛИКОВАНИЕ
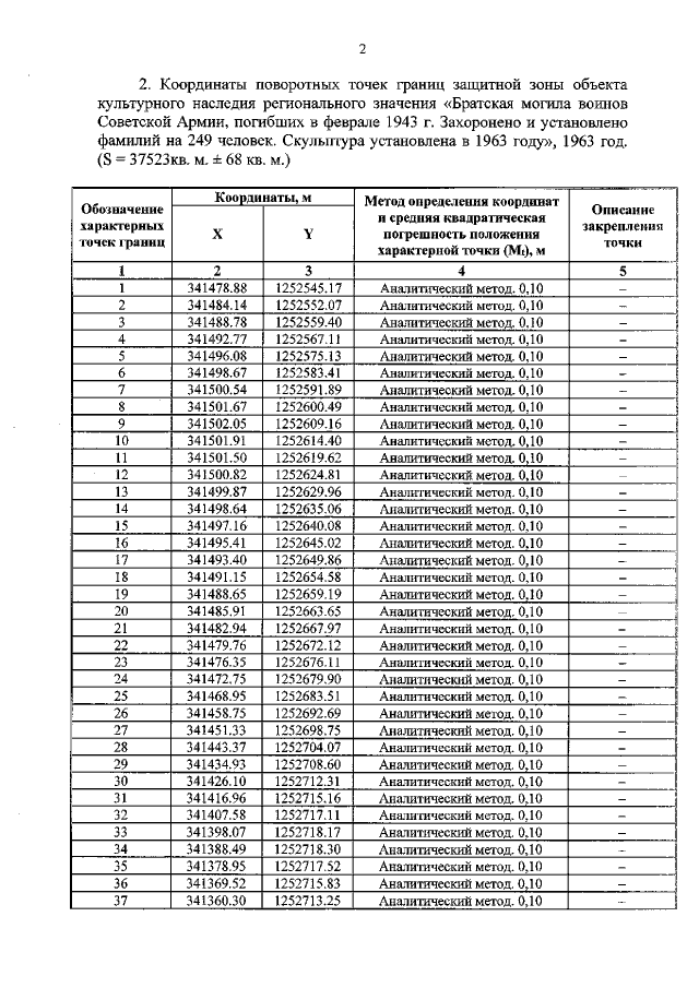
Приказ Комитета по охране объектов культурного наследия Курской области от 11.04.2022 № 05.4-08/383
"Об утверждении графического описания местоположения границ защитной зоны объекта культурного наследия регионального значения "Братская могила воинов Советской Армии, погибших в феврале 1943 г. Захоронено и установлено фамилий на 249 человек. Скульптура установлена в 1963 году", 1963 год (Курская область, Беловский район, с. Озерки (в парке села)"
Номер опубликования: 4601202204150035
Дата опубликования: 15.04.2022
Страница №4 из 7:
Увеличить