Официальное опубликование правовых актов
ОФИЦИАЛЬНОЕ ОПУБЛИКОВАНИЕ
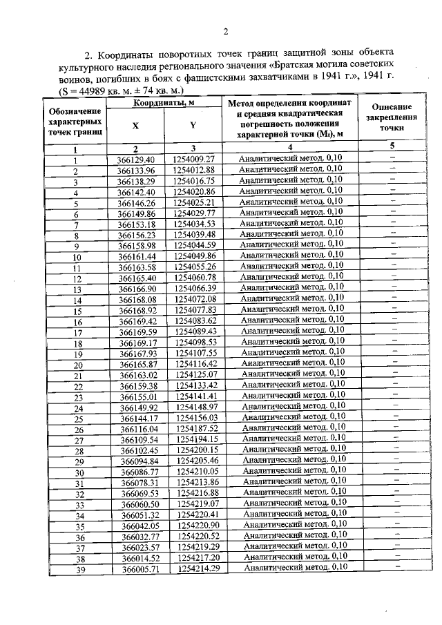
Приказ Комитета по охране объектов культурного наследия Курской области от 11.04.2022 № 05.4-08/388
"Об утверждении графического описания местоположения границ защитной зоны объекта культурного наследия регионального значения "Братская могила советских воинов, погибших в боях с фашистскими захватчиками в 1941 г.", 1941 г.(Курская область, Большесолдатский район, д. Козыревка)"
Номер опубликования: 4601202204150030
Дата опубликования: 15.04.2022
Страница №4 из 6:
Увеличить