Официальное опубликование правовых актов
ОФИЦИАЛЬНОЕ ОПУБЛИКОВАНИЕ
Приказ Комитета по охране объектов культурного наследия Курской области от 11.04.2022 № 05.4-08/373
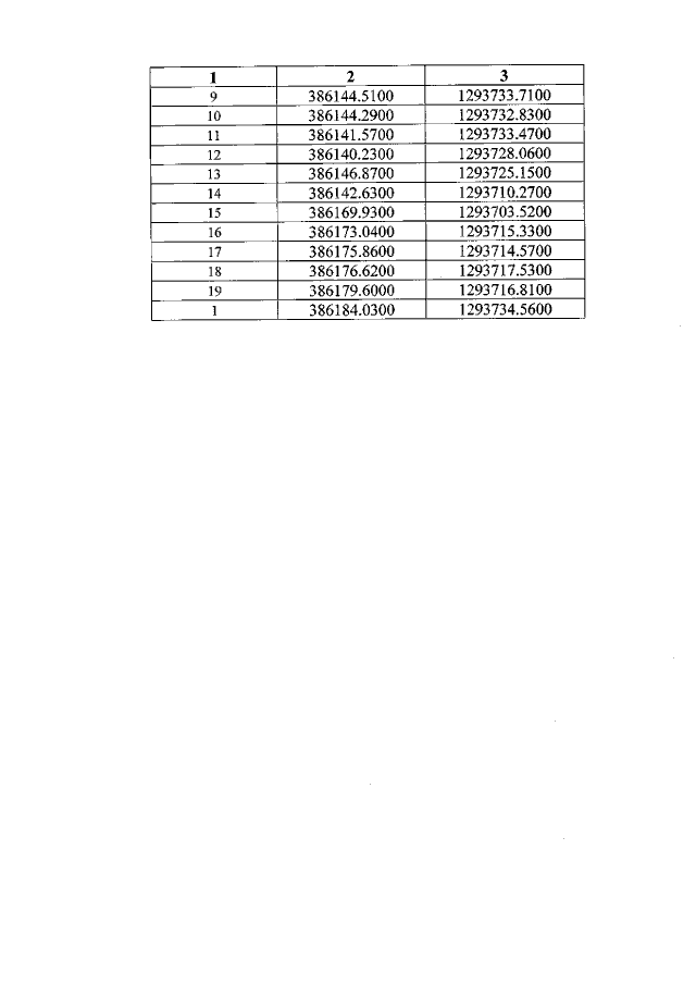
"Об утверждении границ и режима использования территории объекта культурного наследия регионального значения "Братская могила воинов Советской Армии и партизан, погибших в период Великой Отечественной войны. Захоронено 413 человек, установлено фамилий на 218 человек. Скульптура установлена в 1963 г.", 1941–1945 гг., 1963 г., расположенного по адресу: Курская область, Медвенский район, п. Медвенка"
Номер опубликования: 4601202204150023
Дата опубликования: 15.04.2022
Страница №6 из 8:
Увеличить