Официальное опубликование правовых актов
ОФИЦИАЛЬНОЕ ОПУБЛИКОВАНИЕ
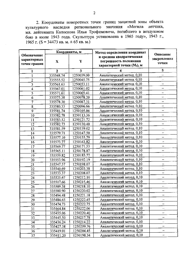
Приказ Комитета по охране объектов культурного наследия Курской области от 07.04.2022 № 05.4-08/367
"Об утверждении графического описания местоположения границ защитной зоны объекта культурного наследия регионального значения "Могила летчика, мл. лейтенанта Колоскова Ильи Трофимовича, погибшего в воздушном бою в июле 1943 года. Скульптура установлена в 1965 году", 1943 г., 1965 г.(Курская область, Беловский район, с. Забужевка Кондратовского сельсовета (в центре села)"
Номер опубликования: 4601202204150017
Дата опубликования: 15.04.2022
Страница №4 из 7:
Увеличить