Официальное опубликование правовых актов
ОФИЦИАЛЬНОЕ ОПУБЛИКОВАНИЕ
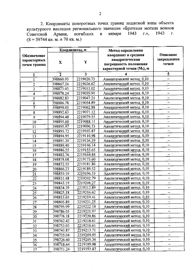
Приказ Комитета по охране объектов культурного наследия Курской области от 07.04.2022 № 05.4-08/360
"Об утверждении графического описания местоположения границ защитной зоны объекта культурного наследия регионального значения "Братская могила воинов Советской Армии, погибших в январе 1943 года", 1943 г. (Курская область, Горшеченский район, п. Горшечное (пос. свеклосовхоза "Горшеченский")"
Номер опубликования: 4601202204150012
Дата опубликования: 15.04.2022
Страница №4 из 7:
Увеличить