Официальное опубликование правовых актов
ОФИЦИАЛЬНОЕ ОПУБЛИКОВАНИЕ
Приказ Комитета по охране объектов культурного наследия Курской области от 06.04.2022 № 05.4-08/345
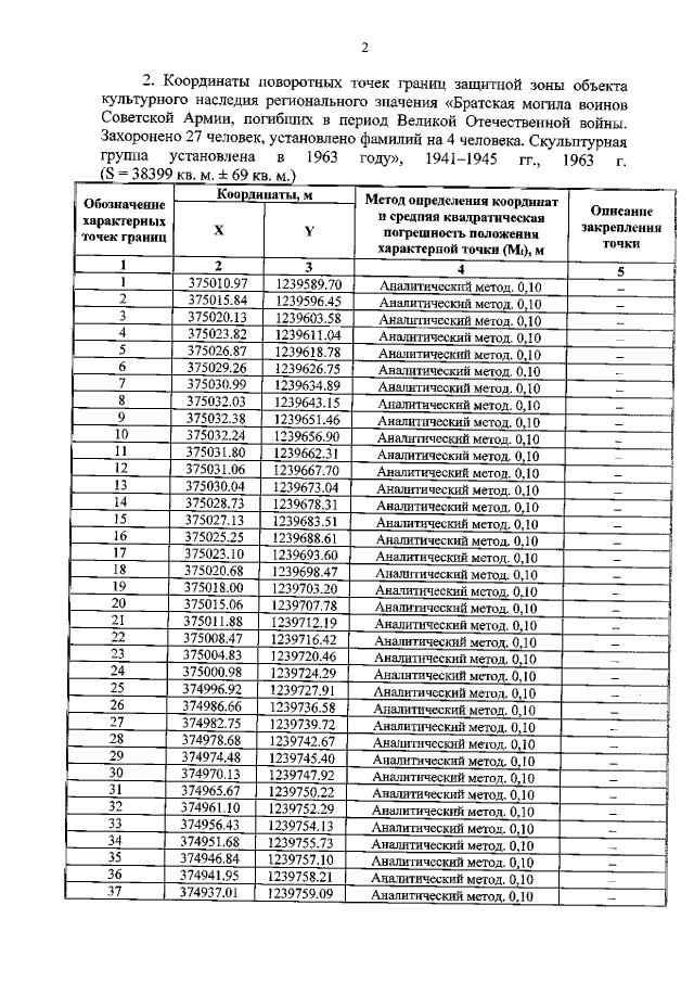
"Об утверждении графического описания местоположения границ защитной зоны объекта культурного наследия регионального значения "Братская могила воинов Советской Армии, погибших в период Великой Отечественной войны. Захоронено 27 человек, установлено фамилий на 4 человека. Скульптурная группа установлена в 1963 году", 1941–1945 гг., 1963 г.(Курская область, Суджанский район, с. Русское–Поречное)"
Номер опубликования: 4601202204130019
Дата опубликования: 13.04.2022
Страница №4 из 7:
Увеличить