Официальное опубликование правовых актов
ОФИЦИАЛЬНОЕ ОПУБЛИКОВАНИЕ
Приказ Комитета по охране объектов культурного наследия Курской области от 06.04.2022 № 05.4-08/344
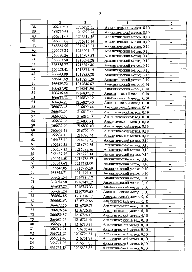
"Об утверждении графического описания местоположения границ защитной зоны объекта культурного наследия регионального значения "Братская могила воинов Советской Армии, погибших в период Великой Отечественной войны. Захоронено 43 человека, установлено фамилий на 18 человек. Скульптурная группа установлена в 1962 году", 1941–1945 гг., 1962 г. (Курская область, Суджанский район, село Ник.–Дарьино)"
Номер опубликования: 4601202204130008
Дата опубликования: 13.04.2022
Страница №5 из 7:
Увеличить