Официальное опубликование правовых актов
ОФИЦИАЛЬНОЕ ОПУБЛИКОВАНИЕ
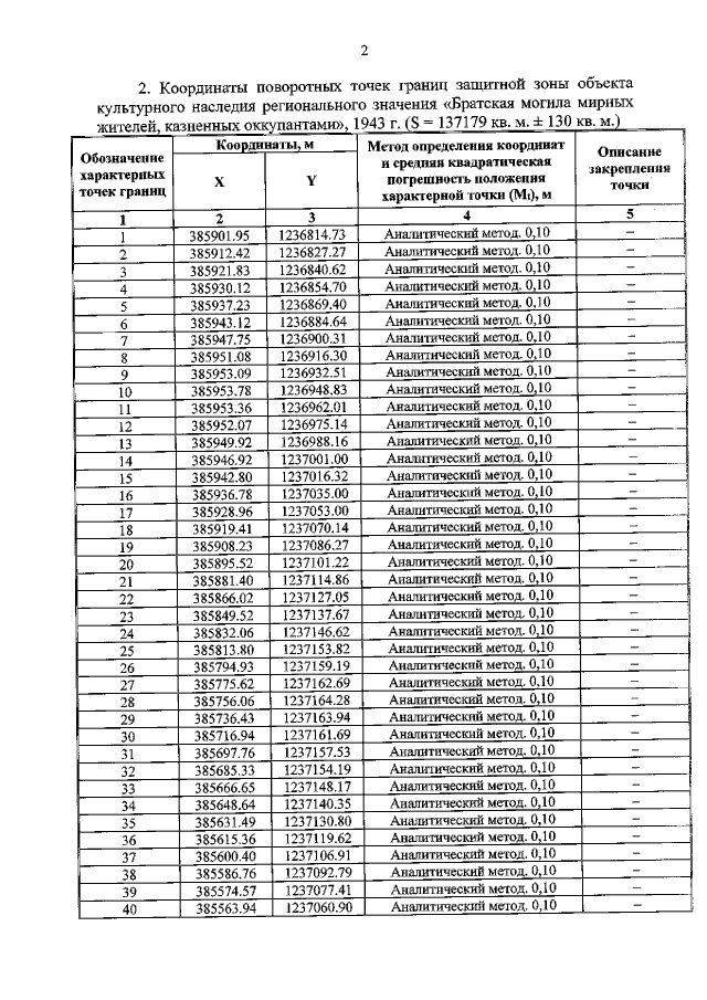
Приказ Комитета по охране объектов культурного наследия Курской области от 06.04.2022 № 05.4-08/338
"Об утверждении графического описания местоположения границ защитной зоны объекта культурного наследия регионального значения "Братская могила мирных жителей, казненных оккупантами", 1943 г.(Курская область, Суджанский район, с. Ивница)"
Номер опубликования: 4601202204130004
Дата опубликования: 13.04.2022
Страница №3 из 5:
Увеличить