Официальное опубликование правовых актов
ОФИЦИАЛЬНОЕ ОПУБЛИКОВАНИЕ
Приказ Комитета по охране объектов культурного наследия Курской области от 06.04.2022 № 05.4-08/341
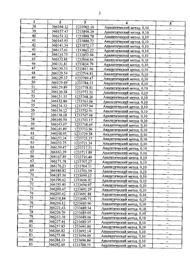
"Об утверждении графического описания местоположения границ защитной зоны объекта культурного наследия регионального значения "Братская могила воинов Советской Армии, погибших в период Великой Отечественной войны. Захоронено 66 человек, установлено фамилий на 31 человека. Скульптура установлена в 1963 году", 1963 г. (Курская область, Суджанский район, с. Казачья Локня (в парке у Дома культуры)"
Номер опубликования: 4601202204130003
Дата опубликования: 13.04.2022
Страница №5 из 7:
Увеличить