Официальное опубликование правовых актов
ОФИЦИАЛЬНОЕ ОПУБЛИКОВАНИЕ
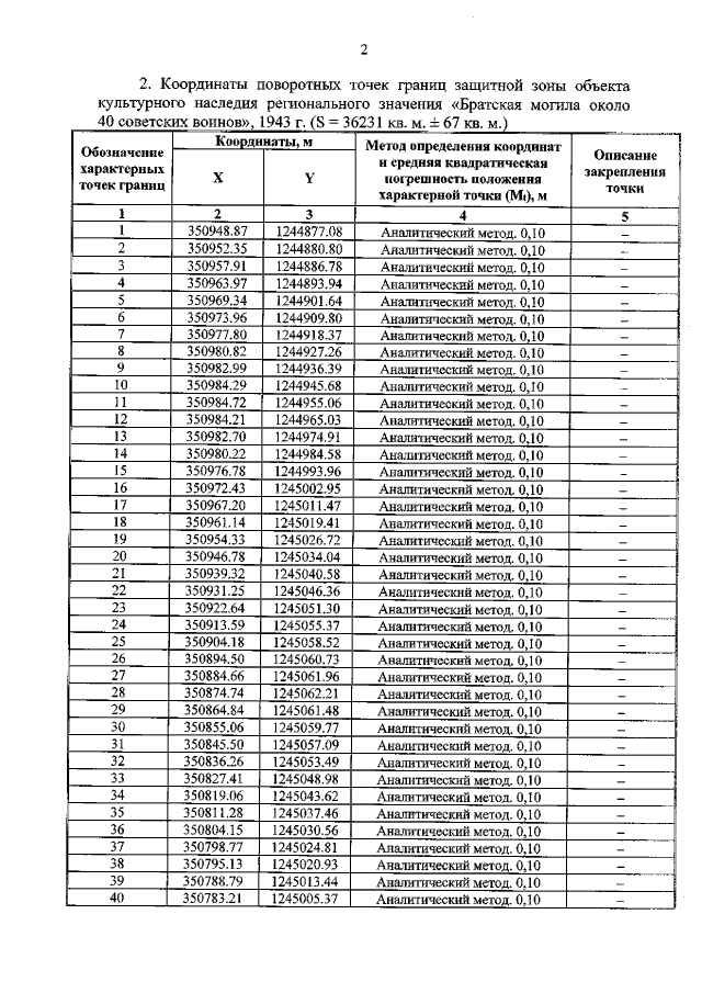
Приказ Комитета по охране объектов культурного наследия Курской области от 04.04.2022 № 05.4-08/321
"Об утверждении графического описания местоположения границ защитной зоны объекта культурного наследия регионального значения "Братская могила около 40 советских воинов", 1943 г. (Курская область, Суджанский район, с. Борки)"
Номер опубликования: 4601202204110014
Дата опубликования: 11.04.2022
Страница №3 из 5:
Увеличить