Официальное опубликование правовых актов
ОФИЦИАЛЬНОЕ ОПУБЛИКОВАНИЕ
Приказ Комитета по охране объектов культурного наследия Курской области от 04.04.2022 № 05.4-08/316
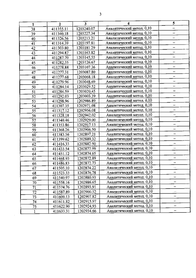
"Об утверждении графического описания местоположения границ защитной зоны объекта культурного наследия регионального значения "Братская могила воинов Советской Армии, погибших в период Великой Отечественной войны. Захоронено и установлено фамилий на 177 человек. Скульптура установлена в 1963 году", 1941–1945 гг., 1963 г.(Курская область, Рыльский район, село Асмолово (на юго–восточной окраине села)"
Номер опубликования: 4601202204110011
Дата опубликования: 11.04.2022
Страница №5 из 6:
Увеличить