Официальное опубликование правовых актов
ОФИЦИАЛЬНОЕ ОПУБЛИКОВАНИЕ
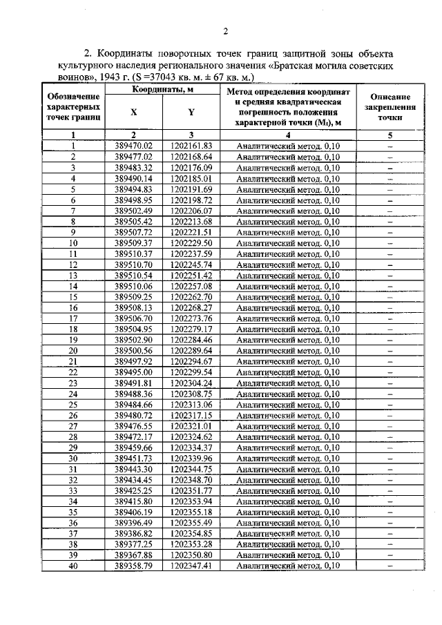
Приказ Комитета по охране объектов культурного наследия Курской области от 04.04.2022 № 05.4-08/318
"Об утверждении графического описания местоположения границ защитной зоны объекта культурного наследия регионального значения "Братская могила советских воинов", 1943 г.(Курская область, Рыльский район, с. Артюшково)"
Номер опубликования: 4601202204110010
Дата опубликования: 11.04.2022
Страница №3 из 6:
Увеличить