Официальное опубликование правовых актов
ОФИЦИАЛЬНОЕ ОПУБЛИКОВАНИЕ
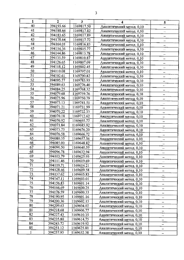
Приказ Комитета по охране объектов культурного наследия Курской области от 04.04.2022 № 05.4-08/317
"Об утверждении графического описания местоположения границ защитной зоны объекта культурного наследия регионального значения "Братская могила воинов Советской Армии и партизан, погибших в период Великой Отечественной войны", 1941–1945 гг.(Курская область, Рыльский район, дер. Анатольевка (в центре деревни)"
Номер опубликования: 4601202204110009
Дата опубликования: 11.04.2022
Страница №5 из 6:
Увеличить