Официальное опубликование правовых актов
ОФИЦИАЛЬНОЕ ОПУБЛИКОВАНИЕ
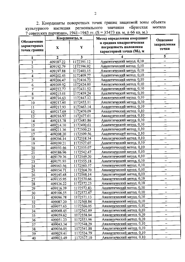
Приказ Комитета по охране объектов культурного наследия Курской области от 04.04.2022 № 05.4-08/312
"Об утверждении графического описания местоположения границ защитной зоны объекта культурного наследия регионального значения "Братская могила 7 советских партизан", 1941–1943 гг.(Курская область, Рыльский район, с. Крупец)"
Номер опубликования: 4601202204110001
Дата опубликования: 11.04.2022
Страница №3 из 5:
Увеличить