Официальное опубликование правовых актов
ОФИЦИАЛЬНОЕ ОПУБЛИКОВАНИЕ
Приказ Комитета по охране объектов культурного наследия Курской области от 30.03.2022 № 05.4-08/290
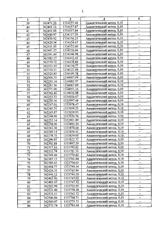
"Об утверждении графического описания местоположения границ защитной зоны объекта культурного наследия регионального значения "Братская могила воинов Советской Армии, погибших в период Великой Отечественной войны", 1941—1945 гг. (Курская область, Пристенский район, Ярыгинский сельсовет, пос. Комсомольский, на окраине леса (Разрытое) в 150 м на восток от ж/д Курск—Белгород)"
Номер опубликования: 4601202204060022
Дата опубликования: 06.04.2022
Страница №5 из 7:
Увеличить