Официальное опубликование правовых актов
ОФИЦИАЛЬНОЕ ОПУБЛИКОВАНИЕ
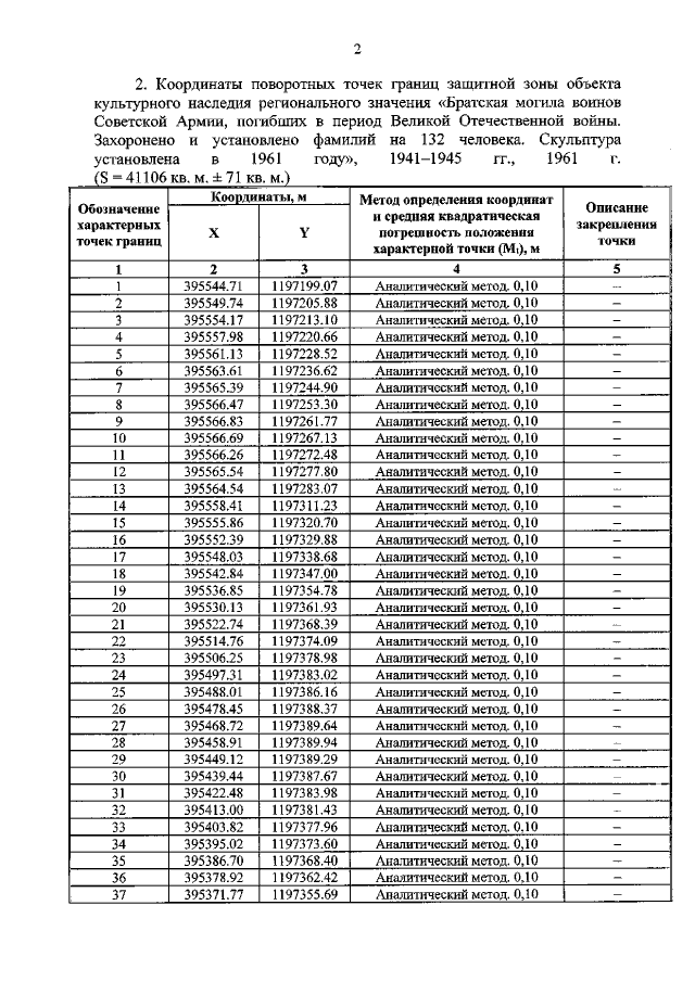
Приказ Комитета по охране объектов культурного наследия Курской области от 30.03.2022 № 05.4-08/299
"Об утверждении графического описания местоположения границ защитной зоны объекта культурного наследия регионального значения "Братская могила воинов Советской Армии, погибших в период Великой Отечественной войны. Захоронено и установлено фамилий на 132 человека. Скульптура установлена в 1961 году", 1941—1945 гг., 1961 г. (Курская область, Рыльский район, п. им. Куйбышева (в центре поселка)"
Номер опубликования: 4601202204060020
Дата опубликования: 06.04.2022
Страница №4 из 6:
Увеличить