Приказ Комитета по охране объектов культурного наследия Курской области от 30.03.2022 № 05.4-08/288
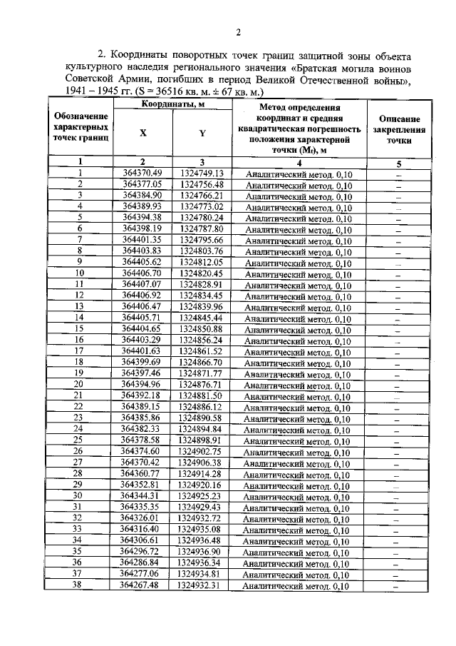
"Об утверждении графического описания местоположения границ защитной зоны объекта культурного наследия регионального значения "Братская могила воинов Советской Армии, погибших в период Великой Отечественной войны", 1941—1945 гг. (Курская область, Пристенский район, село Нагольное)"
"Об утверждении графического описания местоположения границ защитной зоны объекта культурного наследия регионального значения "Братская могила воинов Советской Армии, погибших в период Великой Отечественной войны", 1941—1945 гг. (Курская область, Пристенский район, село Нагольное)"
Номер опубликования: 4601202204060016
Дата опубликования:
06.04.2022
