Официальное опубликование правовых актов
ОФИЦИАЛЬНОЕ ОПУБЛИКОВАНИЕ
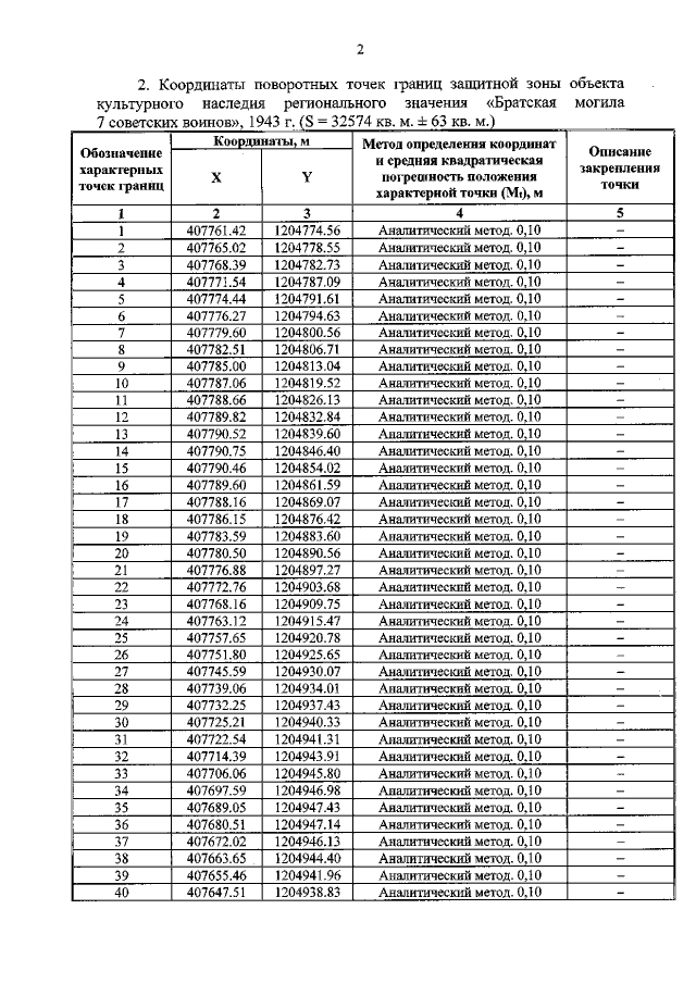
Приказ Комитета по охране объектов культурного наследия Курской области от 30.03.2022 № 05.4-08/297
"Об утверждении графического описания местоположения границ защитной зоны объекта культурного наследия регионального значения "Братская могила 7 советских воинов", 1943 г. (Курская область, Рыльский район, с. Мазеповка)"
Номер опубликования: 4601202204060014
Дата опубликования: 06.04.2022
Страница №3 из 6:
Увеличить