Официальное опубликование правовых актов
ОФИЦИАЛЬНОЕ ОПУБЛИКОВАНИЕ
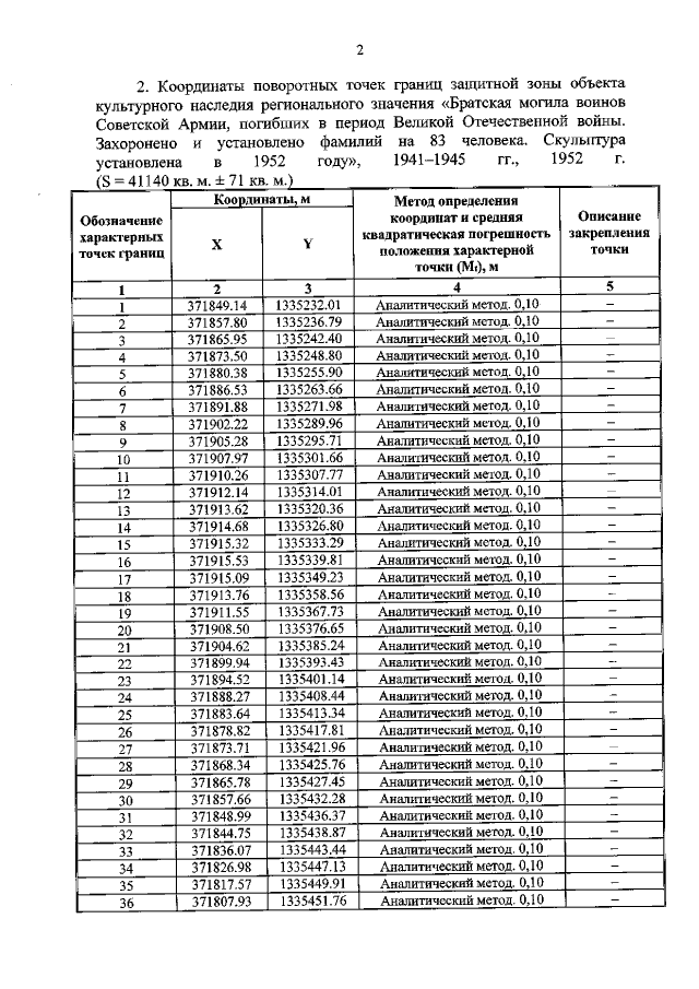
Приказ Комитета по охране объектов культурного наследия Курской области от 30.03.2022 № 05.4-08/287
"Об утверждении графического описания местоположения границ защитной зоны объекта культурного наследия регионального значения "Братская могила воинов Советской Армии, погибших в период Великой Отечественной войны. Захоронено и установлено фамилий на 83 человека. Скульптура установлена в 1952 году", 1941—1945 гг., 1952 г. (Курская область, Пристенский район, пос. Кировский (сахзавод, 50 м севернее средней школы)"
Номер опубликования: 4601202204060009
Дата опубликования: 06.04.2022
Страница №4 из 6:
Увеличить