Официальное опубликование правовых актов
ОФИЦИАЛЬНОЕ ОПУБЛИКОВАНИЕ
Приказ Комитета по охране объектов культурного наследия Курской области от 30.03.2022 № 05.4-08/282
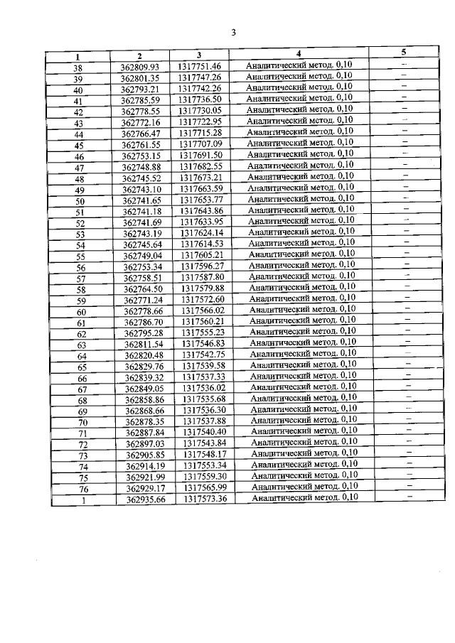
"Об утверждении графического описания местоположения границ защитной зоны объекта культурного наследия регионального значения "Братская могила воинов Советской Армии, погибших в период Великой Отечественной войны. Захоронено 452 человека, установлено фамилий на 134 человека. Скульптура установлена в 1963 году", 1941—1945 гг., 1963 г. (Курская область, Пристенский район, село Бобрышево (в центре села, 50 м восточнее Дома культуры)"
Номер опубликования: 4601202204060001
Дата опубликования: 06.04.2022
Страница №5 из 6:
Увеличить