Официальное опубликование правовых актов
ОФИЦИАЛЬНОЕ ОПУБЛИКОВАНИЕ
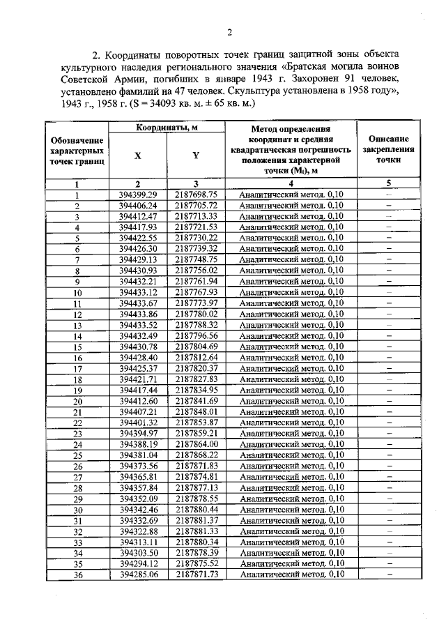
Приказ Комитета по охране объектов культурного наследия Курской области от 29.03.2022 № 05.4-08/268
"Об утверждении графического описания местоположения границ защитной зоны объекта культурного наследия регионального значения "Братская могила воинов Советской Армии, погибших в январе 1943 г. Захоронен 91 человек, установлено фамилий на 47 человек. Скульптура установлена в 1958 году", 1943 г., 1958 г. (Курская область, Горшеченский район, с. Среднедорожное (в центре села)"
Номер опубликования: 4601202204050026
Дата опубликования: 05.04.2022
Страница №4 из 6:
Увеличить