Официальное опубликование правовых актов
ОФИЦИАЛЬНОЕ ОПУБЛИКОВАНИЕ
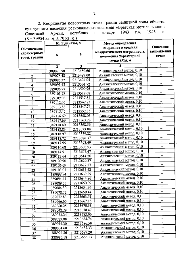
Приказ Комитета по охране объектов культурного наследия Курской области от 29.03.2022 № 05.4-08/272
"Об утверждении графического описания местоположения границ защитной зоны объекта культурного наследия регионального значения "Братская могила воинов Советской Армии, погибших в январе 1943 г.", 1943 г. (Курская область, Горшеченский район, с. Старо—Роговое Старороговского сельсовета (200 м севернее правления колхоза "Новая жизнь")"
Номер опубликования: 4601202204050019
Дата опубликования: 05.04.2022
Страница №4 из 6:
Увеличить