Официальное опубликование правовых актов
ОФИЦИАЛЬНОЕ ОПУБЛИКОВАНИЕ
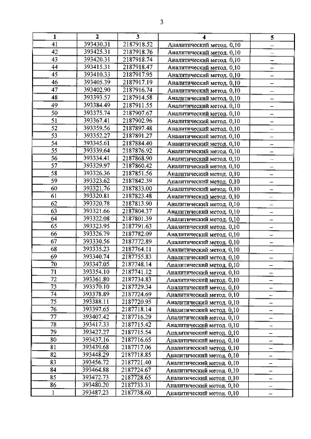
Приказ Комитета по охране объектов культурного наследия Курской области от 29.03.2022 № 05.4-08/269
"Об утверждении графического описания местоположения границ защитной зоны объекта культурного наследия регионального значения "Братская могила школьников, казненных оккупантами", 1942 г. (Курская область, Горшеченский район, с. Среднедорожное)"
Номер опубликования: 4601202204050016
Дата опубликования: 05.04.2022
Страница №4 из 5:
Увеличить