Официальное опубликование правовых актов
ОФИЦИАЛЬНОЕ ОПУБЛИКОВАНИЕ
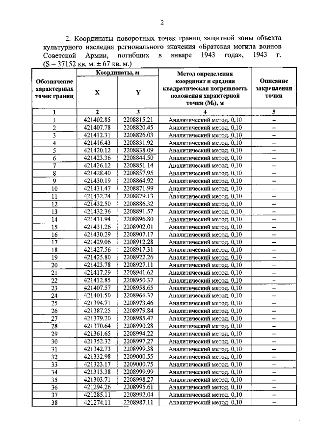
Приказ Комитета по охране объектов культурного наследия Курской области от 29.03.2022 № 05.4-08/277
"Об утверждении графического описания местоположения границ защитной зоны объекта культурного наследия регионального значения "Братская могила воинов Советской Армии, погибших в январе 1943 года", 1943 г. (Курская область, Касторенский район, п. Александровский, улица Парковая)"
Номер опубликования: 4601202204050006
Дата опубликования: 05.04.2022
Страница №4 из 6:
Увеличить