Официальное опубликование правовых актов
ОФИЦИАЛЬНОЕ ОПУБЛИКОВАНИЕ
Приказ Комитета по охране объектов культурного наследия Курской области от 29.03.2022 № 05.4-08/275
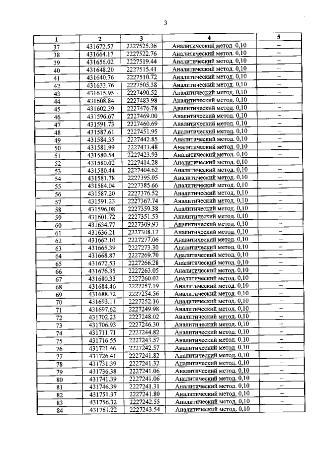
"Об утверждении графического описания местоположения границ защитной зоны объекта культурного наследия регионального значения "Братская могила воинов Советской Армии, погибших в январе 1943 года. Захоронено 98 человек, установлено фамилий на 79 человек. Скульптура установлена в 1954 году", 1943 г. (Курская область, Касторенский район, пос. Касторное)"
Номер опубликования: 4601202204050005
Дата опубликования: 05.04.2022
Страница №5 из 7:
Увеличить